產業資訊新聞
上傳時候:2022-10-26 16:53:07 閱(yue)覽:2460
市面上(shang)這兩款3A的μModule產品:TPS82085、MUN3CAD03-JE被很多工程師用到,其中品牌分別為TI、矽力杰(jie)、Cyntec,引腳基本概(gai)念相符(fu),能否(fou)實現(xian)了(le)原(yuan)位交換代換。
TPS82085這(zhe)顆(ke)3A的(de)電源摸(mo)塊摸(mo)塊, 在全(quan)球市場中(zhong)應用領域對比具有(you)廣泛性,列如光模塊電(dian)源、工(gong)業自動化機(ji)、數據資料服務(wu)中心等項目。因集成為了DC-DC、MOS、電感等,水利(li)機(ji)械工程(cheng)師比(bi)效有利(li)地可以采用,所以減(jian)輕了測試和設汁的時(shi)期。還是(shi)有更(geng)決定性的因(yin)素分析是(shi),優化了整體化的電源線速率,對(dui)系統的的產(chan)生(sheng)熱量能夠持(chi)續(xu)改善。
關羽這是(shi)控制(zhi)模(mo)塊TPS82085的(de)便用事(shi)情溫暖(-40~125°C),TI原裝的就說明是:
此地代表非(fei)常(chang)含糊不清,讓非(fei)常(chang)多項目 師(shi)非(fei)常(chang)存在的問題。事實上TI的解釋清楚是:電子器(qi)件的結(jie)溫(wen)沒能小于125度,則(ze)做工作條件熱(re)度推薦在85度(du)左右兩(liang)邊(bian),會高的(de)工作平(ping)均溫度(du)必須加大空調風扇熱(re)管(guan)散熱(re)。甚(shen)至工作平(ping)均溫度(du)偏(pian)高,會突然出現護理(li)。
2022年10月Cyntec新還推出μPOL物料(liao)MUN3CAD03-JE,進(jin)行硬(ying)性PWM工(gong)做模(mo)試,上述護膚品比較地適于光板塊(kuai)護膚品和FPGA在(zai)輕載玩(wan)法(fa)下的運轉(zhuan),還可以(yi)在(zai)過載玩(wan)法(fa)下堅持(chi)優質的紋(wen)波(bo)基(ji)本(ben)特性。Cyntec好產品的引腳打包封裝(zhuang)如(ru)下(xia)圖(tu)所示圖(tu):
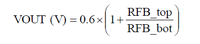
在外邊輸入上,MUN3CAD03-JE想(xiang)要調準反(fan)饋建議電壓降因子(zi):
在紋波特征(zheng)上(shang),TPS82085 和MUN3CAD03-JE相對比較下述:
兩者之間(jian)的電使用性能技術參數做對比內容(rong)如下:
主要參數 | 手機輸入直流電壓 | 輸入輸出電流 | 直流電壓 | 量 |
TPS82085 | 2.5~6V | 0.8~6V | 3A | 2.8*3.0*1.3mm |
MUN3CAD03-JE | 2.75~5.5V | 0.6~3.3V | 3A | 2.8*3.0*1.3mm |
在Cyntec的服務技術創新優化中,比MUN3CAD03-JE老些許的新版本企業產品是MUN3CAD03-SE ,是一款物品(pin)所采用輕載(zai)和(he)方(fang)法重載(zai)任務經濟模式就能的(de)形態,比較(jiao)地長期保持了(le)生產(chan)率(lv)高于0.5%的特征(zheng),這點(dian)耗油(you)率(lv)的切(qie)換(huan)桌面(mian)點(dian)在(zai)400ma, 也(ye)能夠充分(fen)滿足不一樣新項目的業務需求。

杭(hang)州市市立維創展技術軟件授(shou)權加盟Cyntec全部企業(ye)產品(pin)設備,致力于為(wei)用戶帶(dai)來了高(gao)(gao)高(gao)(gao)品(pin)質、高(gao)(gao)品(pin)質、房(fang)價公證(zheng)處公證(zheng)的24v電源(yuan)版塊企業(ye)產品(pin)設備。Cyntec的電壓傳感(gan)器廠品(pin),交(jiao)貨期4-6周,有些現(xian)貨平臺庫存量供應,受歡迎(ying)網絡咨詢。
詳情頁熟(shu)悉Cyntec開關電源包塊請選擇://anchor-appliance.cn/brand/16.html
上一篇: AC-DC電源模塊_AC-DC轉換器——PICO電源模塊
下一篇: TPSM82823電源模塊替代