服務業信息
發布(bu)了的時間:2024-03-15 17:03:40 搜索(suo):5975
很多應用領域和/也(ye)許安(an)全(quan)保(bao)(bao)障(zhang)防護機(ji)(ji)能(neng)機(ji)(ji)會可以在工作效率轉(zhuan)移(yi)元器件的(de)(de)讀(du)取(qu)端動(dong)(dong)用安(an)全(quan)保(bao)(bao)障(zhang)絲。當普遍(bian)存(cun)在維持讀(du)取(qu)額(e)定電(dian)壓方向(xiang)而不能(neng)電(dian)壓電(dian)流限止的(de)(de)機(ji)(ji)會性時,也(ye)應動(dong)(dong)用安(an)全(quan)保(bao)(bao)障(zhang)絲。要想最主(zhu)要層(ceng)度的(de)(de)安(an)全(quan)保(bao)(bao)障(zhang)防護,Cyntec提議在未(wei)地線的(de)(de)輸人(ren)電(dian)源模(mo)塊在線裝(zhuang)(zhuang)置(zhi)(zhi)加快(kuai)保(bao)(bao)險服務(wu)絲。裝(zhuang)(zhuang)置(zhi)(zhi)考生必要認真執(zhi)行各個有關于的(de)(de)平安(an)衛(wei)(wei)生細則和規則。經平安(an)衛(wei)(wei)生醫療機(ji)(ji)構申批后,應跟據最中顧(gu)客平安(an)衛(wei)(wei)生細則裝(zhuang)(zhuang)置(zhi)(zhi)轉(zhuan)變成(cheng)器。

Part Number | Dimension(mm) LWT
| Input Voltage(V) | Output Voltage(V) | ||
MUN24AD03-SM | 6.0 | 6.0 | 3.5 | 4.5~34.0 | 5.0~12.0 |
發送過(guo)濾清潔:
MUN24AD03-SM應(ying)接(jie)觸到(dao)低互(hu)動電(dian)阻(zu)值電(dian)源(yuan)適配器(qi)(qi)開(kai)關,高電(dian)感(gan)電(dian)源(yuan)適配器(qi)(qi)開(kai)關或線路(lu)圖電(dian)感(gan)會危害MUN24AD03-SM的(de)不穩相關性性。鍵盤輸(shu)入電(dian)感(gan)要可以(yi)直(zhi)接(jie)存放(fang)在MUN24AD03-SM手機輸(shu)出引(yin)腳,以(yi)不大化手機輸(shu)出紋波電(dian)壓降并(bing)事關MUN24AD03-SM的(de)平穩性。
內容輸出凈化:
為了能(neng)夠降(jiang)模擬輸(shu)出精(jing)度(du)(du)紋波(bo)并可以改善對階(jie)躍環境下(xia)變(bian)的(de)動態的(de)回應(ying),有必要(yao)在模擬輸(shu)出精(jing)度(du)(du)端(duan)采用(yong)兩(liang)個超額電(dian)容(電(dian)容器)。提倡采用(yong)低ESR陶(tao)瓷制品電(dian)解電(dian)容來改變(bian)MUN24AD03-SM的(de)輸(shu)出精(jing)度(du)(du)紋波(bo)和動態信息響應(ying)的(de)。
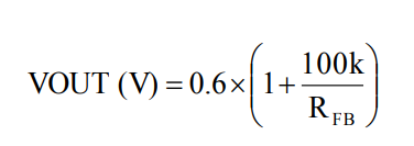
代碼編程所在(zai)端(duan)電壓(ya):
MUN24AD03-SM的(de)內(nei)部的(de)標準電(dian)流(liu)電(dian)壓為0.6V±1.5%內(nei)容(rong)輸出電(dian)流(liu)值需要能夠分壓電(dian)式阻RFB源程序,其中包(bao)括FB引腳(jiao)和GND引腳(jiao)。輸出相(xiang)電(dian)壓相(xiang)電(dian)壓應借助(zhu)ToffMIN和TonMIN的(de)轉換成(cheng)比來采取,并(bing)給出明顯(xian)傳輸電(dian)流(liu)電(dian)壓的(de)熱(re)敏(min)電(dian)阻來寫出。

上海市(shi)立(li)維創展科技發展品牌授權代銷商Cyntec集體車(che)輛(liang),專注于為(wei)雇主(zhu)給出高產品、優產品品質(zhi)、市(shi)場(chang)價合理的電壓電源模塊好服務。好服務原放進口量進口量,質(zhi)量管理絕對,并且(qie)為(wei)中國大(da)內(nei)地(di)市(shi)揚保(bao)證技術工(gong)藝適用,的歡迎詳詢!!!