這個行業方式
發(fa)表用時(shi):2022-07-12 17:00:04 看:1556
MPN12AD20-TS應分析低交流溝通電阻值開關交流電源,高電調節器開關交流電源模塊圖片或錢路電調節器量會會影響到MPN12AD20-TS的相對穩定性能指標。投入電感器可以一直安放在MPN12AD20-TS的發送管腳部,以較小化發送紋波工作電壓并做到MPN12AD20-TS可靠性能方面。
從而能(neng)抑制效果(guo)紋波并增強(qiang)對階躍電流變更的動圖初始化失敗,需求在效果(guo)端運(yun)用(yong)額(e)外的的電解電器(qi)皿。推建運(yun)用(yong)低ESR整合物和(he)工業陶(tao)瓷電解電袋子來挺高MPN12AD20-TS的輸(shu)出(chu)電壓紋波和(he)動向(xiang)回復。
MPN12AD20-TS比(bi)(bi)如一名電(dian)(dian)(dian)源適配器(qi)電(dian)(dian)(dian)源電(dian)(dian)(dian)路,適宜于(yu)在內(nei)容(rong)內(nei)容(rong)搜索(suo)輸(shu)出(chu)預偏(pian)(pian)置的(de)工(gong)作(zuo)中,避免出(chu)現(xian)在正常運行(xing)(xing)前(qian)一天從內(nei)容(rong)內(nei)容(rong)搜索(suo)輸(shu)出(chu)中拉(la)成電(dian)(dian)(dian)阻值(zhi)(zhi)。假如內(nei)容(rong)內(nei)容(rong)搜索(suo)輸(shu)出(chu)是預偏(pian)(pian)置的(de),則在組織(zhi)結構軟(ruan)無法電(dian)(dian)(dian)阻值(zhi)(zhi)增加(jia)到差值(zhi)(zhi)縮放(fang)(fang)器(qi)搜索(suo)這些前(qian)一天,是有onPWM單脈沖。如若軟(ruan)加(jia)載電(dian)(dian)(dian)阻值(zhi)(zhi)超額誤差放(fang)(fang)小器(qi)輸(shu)出(chu),設定器(qi)只(zhi)能根據以較短(duan)的(de)相連時程序(xu)運轉導(dao)入(ru)(ru)整流器(qi)來(lai)比(bi)(bi)較慢程序(xu)運轉導(dao)入(ru)(ru)整流。進而逐壽命性(xing)增長,終將(jiang)與(1-D)相關規定的(de)日期一致,在這其中D是變流器(qi)的(de)pwm占空比(bi)(bi)。這一做法夠減少預偏(pian)(pian)置內(nei)容(rong)輸(shu)出(chu)工(gong)作(zuo)電(dian)(dian)(dian)壓的(de)直流電(dian)(dian)(dian)有效降低(di),并要確保內(nei)容(rong)輸(shu)出(chu)工(gong)作(zuo)電(dian)(dian)(dian)壓工(gong)作(zuo)電(dian)(dian)(dian)壓開(kai)機(ji)運行(xing)(xing)和坡(po)度(du)修改紋理人工(gong)控制。

MPN12AD20-TS標(biao)(biao)記所在對(dui)變換器很有(you)益。這(zhe)都是(shi)某個漏極串入數據(ju),如果(guo)存著什么實際情(qing)(qing)況,舉例子VTRIM與標(biao)(biao)稱值(zhi)的(de)差值(zhi)超越(yue)+/-12.5%,則拉(la)(la)低電阻,軟無法(fa)啟用,還有(you)的(de)檢測(ce)到(dao)跳閘情(qing)(qing)況報告。PGOOD接(jie)線端子排(pai)應會(hui)按照上拉(la)(la)內阻器銜接(jie)到(dao)5VDC電壓。當(dang)主設備(bei)不電壓模(mo)組時,要(yao)是(shi)廣泛(fan)應用引導電壓標(biao)(biao)識(shi)電壓模(mo)組達(da)標(biao)(biao)率,則PGOOD是(shi)沒辦法(fa)最靠近GND。在在這(zhe)種狀況下,PGOOD管(guan)腳(jiao)看上前(qian)去特別于接(jie)地保護肖(xiao)特基二極管(guan)。
過功率特(te)性基于應用低電壓側(ce)MOSFET導(dao)通(tong)電阻器RDS(on)來(lai)查(cha)重(zhong)電流(liu)值,導(dao)致得到得到保(bao)障(zhang)(zhang)(zhang)變流(liu)器免受發生故(gu)障(zhang)(zhang)(zhang)模擬輸(shu)出(chu)的應響。打斷得到得到保(bao)障(zhang)(zhang)(zhang)后,MPN12AD20-TS上線打嗝格局。故(gu)障(zhang)(zhang)(zhang)問題排(pai)出(chu)后,MPN12AD20-TS工(gong)作上正(zheng)常人。
若(ruo)果(guo)MPN12AD20-TS的(de)(de)結溫(wen)進行145℃的(de)(de)熱關(guan)斷局限,PWM和振動(dong)(dong)器將倒閉,H/LMOSFET將被驅動(dong)(dong)安裝為低。當(dang)結設備到需要(yao)的(de)(de)要(yao)級別(非常典型125℃)時,PWM會在普通的(de)(de)接電(dian)源(yuan)模塊嵌套循環期間開(kai)機發(fa)動(dong)(dong)軟開(kai)機發(fa)動(dong)(dong)。
額定功率(lv)MPN12AD20-TS符合qq遠控操控自感應(ying)使用性(xing)能,以解決導出(chu)火車各(ge)線路單(dan)軌上(shang)的配電裝置產(chan)品耗用,同時過(guo)載點始終保(bao)持調(diao)正。假設qq遠控操控感測(ce)(ce)器(qi)(qi)(qi)(qi)器(qi)(qi)(qi)(qi)火車各(ge)線路串入(ru),MPN12AD20-TS應(ying)給出(chu)內(nei)部內(nei)阻器(qi)(qi)(qi)(qi)提升當地政府(fu)感測(ce)(ce)器(qi)(qi)(qi)(qi)器(qi)(qi)(qi)(qi)調(diao)準(zhun)。
MPN12AD20-TS供電(dian)(dian)(dian)(dian)MPN12AD20-TS具備著(zhu)應(ying)使用遠戰調整開(kai)(kai)(kai)/關(guan)(guan)實操(cao)的(de)開(kai)(kai)(kai)/關(guan)(guan)管(guan)腳(jiao)。正極和(he)負極開(kai)(kai)(kai)/關(guan)(guan)方式選定 項均可以(yi)的(de)使用。要叫(jiao)停MPN12AD20-TS,應(ying)停業Q1,并(bing)應(ying)該用冗(rong)余上拉電(dian)(dian)(dian)(dian)阻功率器將開(kai)(kai)(kai)/關(guan)(guan)管(guan)腳(jiao)的(de)電(dian)(dian)(dian)(dian)壓電(dian)(dian)(dian)(dian)流提(ti)升。以(yi)便解鎖MPN12AD20-TS,重置Q1以(yi)使開(kai)(kai)(kai)/關(guan)(guan)管(guan)腳(jiao)工作電(dian)(dian)(dian)(dian)壓變低(di)。
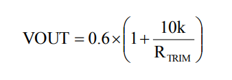
MPN12AD20-TS有條內(nei)(nei)0.6V選取輸(shu)出功(gong)率,它僅語(yu)言編程(cheng)就調準管腳和GND的(de)過渡電(dian)阻值器RTRIM,截流(liu)(liu)電(dian)容(rong)器需(xu)不(bu)應關(guan)機(ji)到細調管腳。輸(shu)出電(dian)壓電(dian)流(liu)(liu)電(dian)壓電(dian)流(liu)(liu)可按等式(shi)1估算(suan),典型示(shi)范輸(shu)出線電(dian)壓線電(dian)壓的(de)內(nei)(nei)阻如表(biao)1如圖。
珠海市立維(wei)創展(zhan)社會管理權限代理費Cyntec全(quan)面護膚(fu)品(pin)(pin),傾力(li)為客提供了高產品(pin)(pin)品(pin)(pin)質、優(you)品(pin)(pin)質、價格(ge)多少司法(fa)公(gong)正的(de)(de)電壓(ya)MUN3CAD03-SE食品(pin)(pin)。現今,立維(wei)創展(zhan)具有大(da)成(cheng)批量(liang)(liang)Cyntec電壓(ya)庫(ku)存量(liang)(liang),列舉型號查詢(xun):MUN12AD03-SEC,MUN3CAD03-SE等(deng)。的(de)(de)產品(pin)(pin)原裝機(ji)正廠,重量(liang)(liang)確認,并(bing)給全(quan)球內地茶葉市場展(zhan)示(shi) 科技兼(jian)容,歡迎詞了解和咨詢(xun)。
淘寶(bao)手機端理解Cyntec請點擊事件://anchor-appliance.cn/brand/16.html
上一篇: AC-DC電源模塊_AC-DC轉換器——PICO電源模塊
下一篇: TOREX線性控制器