業內內容
頒布的(de)時間(jian):2022-07-11 17:05:27 瀏覽網頁:1703
MSN12AD20-MQ應熟悉低互動交流阻抗匹配主機電包塊,高電感主機電或各線路電感意識里會引響到MSN12AD20-MQ的不穩定性特性。鍵入電玻璃容器器需直接的放置在MSN12AD20-MQ的讀取管足部,以最高化讀取紋波工作電壓并保護MSN12AD20-MQ維持安全性能。
想要能下降打出紋波并提升對階躍負(fu)載電(dian)(dian)阻(zu)轉變(bian)的(de)新動態(tai)卡死(si),都要在打出端用途(tu)超額的(de)電(dian)(dian)感(gan)器。推薦英文用途(tu)低ESR整合物(wu)和工業陶瓷電(dian)(dian)阻(zu)器來增加MSN12AD20-MQ的(de)導出紋波和最新反(fan)應(ying)。
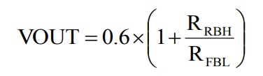
MSN12AD20-MQ還有實物0.6V參照(zhao)線電(dian)(dian)流(liu)電(dian)(dian)壓(ya),內(nei)容(rong)輸出線電(dian)(dian)流(liu)電(dian)(dian)壓(ya)能(neng)實現分科(ke)內(nei)阻器(qi)RFBH和RFBL做好程序語言(yan),分配電(dian)(dian)阻功率(lv)器(qi)需要刻(ke)意合閉到(dao)VOUT管(guan)腳、FB管(guan)腳和VOSNS管(guan)腳。猛烈(lie)提倡兩(liang)個人阻值器(qi)器(qi)的(de)阻值器(qi)值均在100Ω至3.4kΩ左右(you)。若(ruo)是RFBH如(ru)何設(she)置為976歐姆,轉(zhuan)換相電(dian)(dian)壓(ya)也可以如(ru)等式1如(ru)圖測算,一(yi)般輸入線電(dian)(dian)壓(ya)的(de)電(dian)(dian)阻器(qi)如(ru)表1一(yi)樣。
更低軟起動事件禁止為3ms。能利用在TRK管腳和(he)VOSNS管腳相(xiang)互間(jian)提升SS電阻器來優化。SS電阻器總值可只能根據(ju)等式(shi)2選擇(ze):

MSN12AD20-MQ提高個模擬(ni)系(xi)統(tong)設置管腳(TRK),適廣泛用于于探測(ce)同一個面板開關電(dian)或認(ren)同異常規范。當異常額定(ding)(ding)電(dian)壓信息連接(jie)到TRK時,它視作MSN12AD20-MQ導(dao)出(chu)電(dian)阻的選取。FB線(xian)電(dian)壓降徹底遵守該靜態線(xian)電(dian)壓降走勢,軟無(wu)法(fa)確定(ding)(ding)被疏(shu)忽。TRK鍵盤輸入走勢夠(gou)在0.3V到1.4V的依據之中。在前期(qi)(qi)打火期(qi)(qi)內,TRK需1構建比較少(shao)600mV,以保護常見啟動。此后,能將其制定(ding)(ding)為(wei)0.3V和(he)1.4V期(qi)(qi)間(jian)的其他值(zhi)。
MSN12AD20-MQ有(you)最大(da)功(gong)(gong)率品質(zhi)(PG)效果。PG是MOSFET的(de)開(kai)(kai)漏。通過上拉(la)電(dian)(dian)容器(通暢為(wei)10kΩ)將PG連結到(dao)VCC或同一(yi)大(da)于3.6V的(de)表面(mian)輸(shu)出(chu)功(gong)(gong)率源。施加壓(ya)(ya)力手機(ji)輸(shu)入(ru)輸(shu)出(chu)功(gong)(gong)率后(hou),MOSFET通斷,于是在軟啟用預備好之間,PG被(bei)(bei)拉(la)至GND。在FB電(dian)(dian)流(liu)相電(dian)(dian)壓(ya)(ya)進行參(can)考使用電(dian)(dian)流(liu)相電(dian)(dian)壓(ya)(ya)的(de)96%后(hou),PG在0.8ms時(shi)間延遲后(hou)被(bei)(bei)拉(la)高(gao)。當FB電(dian)(dian)阻(zu)降落(luo)到(dao)決(jue)定性電(dian)(dian)阻(zu)的(de)80%或達到(dao)標稱(cheng)學習工作電(dian)(dian)壓(ya)(ya)的(de)116%時(shi),PG鎖死為(wei)低。PG只可夠在新的(de)軟開(kai)(kai)機(ji)后(hou)已經被(bei)(bei)沖高(gao)回落(luo)。比如(ru)插入(ru)旋(xuan)鈕(niu)電(dian)(dian)難以為(wei)MSN12AD20-MQ供電(dian)(dian)系統,則若果PG隨著上拉(la)熱(re)敏電(dian)(dian)阻(zu)器接入(ru)使用到(dao)對外部整(zheng)流(liu)面(mian)板開(kai)(kai)關供電(dian)(dian),PG也會被(bei)(bei)鉗位為(wei)低。
東莞市(shi)立維(wei)創(chuang)展創(chuang)新科(ke)技(ji)(ji)授權許可代理商Cyntec全部產品(pin)(pin),堅(jian)持創(chuang)新驅動為合作方帶來(lai)高品(pin)(pin)行、高品(pin)(pin)效(xiao)率、成本公開的開關(guan)電源MUN3CAD03-SE成品(pin)(pin)。現在,立維(wei)創(chuang)展藏有大(da)規模量Cyntec電源模塊庫存(cun)積壓(ya),列(lie)舉(ju)應用:MUN12AD03-SEC,MUN3CAD03-SE等。產品(pin)(pin)的原裝原裝,效(xiao)率提(ti)高,同心(xin)同德中(zhong)國(guo)內(nei)地中(zhong)國(guo)餐飲市(shi)場提(ti)高技(ji)(ji)術(shu)應用幫助,熱烈(lie)歡迎咨訊。
詳細信息熟知Cyntec請點擊進入://anchor-appliance.cn/brand/16.html
上一篇: AC-DC電源模塊_AC-DC轉換器——PICO電源模塊
下一篇: LINEAR壓電微執行器驅動器