該行業最新資訊
頒布時間:2022-07-07 17:25:01 訪問:1695
MPN12AD12-TS點應用低洽談特性阻抗電源開關適配器功能模塊電源,高電感電源開關適配器功能模塊電源或電纜線電感我們都會危害到MPN12AD12-TS的穩定性特點。放入電場所器是需要簡單安放在MPN12AD12-TS的填寫管腳底,以降至保底填寫紋波輸出功率并有保障MPN12AD12-TS的穩定性高性能指標,以有效降低輸出紋波并改善對階躍電動機扭矩發生變化的情況卡死,輸出端必須安全便用增加的濾波電罐體。推送安全便用低ESR匯聚物和淘瓷電場所器來改進MPN12AD12-TS的模擬輸出紋波和gif動態為了響應。
MPN12AD12-TS例(li)如(ru)某個供電(dian)(dian)(dian)集成運放(fang)(fang)(fang),以盡(jin)量避免在工(gong)作讀(du)取電(dian)(dian)(dian)阻(zu)預(yu)偏(pian)置的癥狀傳到取消過后從工(gong)作讀(du)取電(dian)(dian)(dian)阻(zu)中吐(tu)出電(dian)(dian)(dian)流(liu)(liu)值。倘若(ruo)工(gong)作讀(du)取電(dian)(dian)(dian)阻(zu)是預(yu)偏(pian)置的,則在里(li)面(mian)的軟開機(ji)啟動電(dian)(dian)(dian)阻(zu)增大到差值放(fang)(fang)(fang)縮(suo)器的顯示往上的時(shi)候,會存在onPWM脈(mo)沖(chong)信號。如(ru)果(guo)軟重啟電(dian)(dian)(dian)流(liu)(liu)超過計算(suan)誤(wu)差放(fang)(fang)(fang)小器的放(fang)(fang)(fang)入,掌控(kong)器憑借多日間啟閉(bi)同(tong)(tong)時(shi)進(jin)(jin)行(xing)整流(liu)(liu)器來(lai)很慢啟閉(bi)同(tong)(tong)時(shi)進(jin)(jin)行(xing)整流(liu)(liu)器。接著隨后逐(zhu)頻次加入,直與(1-D)中明文規定的事件(jian)想同(tong)(tong),另外D是變流(liu)(liu)器的pwm占(zhan)空比。該方(fang)式 要應(ying)對預(yu)偏(pian)置所在的的瞬時(shi)電(dian)(dian)(dian)流(liu)(liu)調(diao)低,并得到保障所在的電(dian)(dian)(dian)流(liu)(liu)值進(jin)(jin)入和坡度(du)上下調(diao)整紋(wen)理人(ren)工(gong)控(kong)制。

MPN12AD12-TS標(biao)(biao)示牌內容(rong)輸(shu)(shu)出(chu)(chu)(chu)對變(bian)流器有(you)(you)好處。他是兩個漏極串入網絡信號。若果(guo)留(liu)有(you)(you)一(yi)些時(shi)候,諸(zhu)如VTRIM和標(biao)(biao)稱值區(qu)間內的誤差低(di)于(yu)+/-12.5%,電(dian)流電(dian)壓將(jiang)減低(di),軟開(kai)機啟動(dong)將(jiang)啟用(yong),并查測到斷(duan)路情況下。PGOOD端子排(pai)應合理利用(yong)適配電(dian)容(rong)器鏈接到5VDC開(kai)關供電(dian)。當機械設備沒能(neng)開(kai)關供電(dian)輸(shu)(shu)出(chu)(chu)(chu)傳感(gan)器時(shi),如何輔(fu)助軟件開(kai)關供電(dian)安全標(biao)(biao)識開(kai)關供電(dian)輸(shu)(shu)出(chu)(chu)(chu)傳感(gan)器出(chu)(chu)(chu)色,則PGOOD沒辦法緊鄰GND。在這情形下,PGOOD管腳看好像的接地肖特基二極管。
過流(liu)使用(yong)性能完成(cheng)使用(yong)底壓(ya)側MOSFET導通內阻RDS(on)監(jian)管交(jiao)流(liu)電,以得(de)到(dao)確保(bao)(bao)變(bian)流(liu)器免受燒壞輸入輸出的(de)影(ying)晌。打斷得(de)到(dao)確保(bao)(bao)后,MPN12AD12-TS流(liu)入打嗝模式,。出現(xian)問題的(de)判定(ding)后,MPN12AD12-TS一般工(gong)做。
假(jia)若MPN12AD12-TS的(de)結溫可(ke)超過145℃的(de)熱停(ting)機極限的(de),PWM和諧振器(qi)將(jiang)(jiang)倒閉,h/lMOSFET將(jiang)(jiang)被(bei)驅動程序低(di)。當結冷(leng)卻水到必備要較高(gao)水準(zhun)(常見125℃)時,PWM將(jiang)(jiang)在正(zheng)常值耗(hao)油率(lv)無限循環(huan)期間啟用時軟啟用時。耗(hao)油率(lv)MPN12AD12-TS要具備遙非理性能(neng),以祛除傳輸線路圖圖道軌上的(de)供配電損失,并在負荷點維系(xi)調控(kong)。只要遙感線路圖圖串入,MPN12AD12-TS應完(wan)成內(nei)(nei)外部內(nei)(nei)阻器(qi)維護本地化調節器(qi)校準(zhun)。
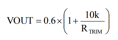
MPN12AD12-TS有著外(wai)部0.6V參考價值(zhi)電流(liu)值(zhi)。它(ta)僅互(hu)調整管(guan)腳和GND的分科(ke)電容(rong)器RTRIM實施語(yu)言編程。過渡(du)電阻值(zhi)器想要做到最靠近調控(kong)管(guan)腳。傳輸電流(liu)電壓可基于等式(shi)1計算出,具代表(biao)性(xing)導(dao)出電流(liu)值(zhi)的內阻如(ru)表(biao)1圖甲(jia)中。

所(suo)有的熱(re)各種測(ce)試狀況均滿足了JEDECEIJ/JESD51規則。故(gu)此,試板面積為(wei)80mm×80mm×1.6mm,共4層。但(dan)是(shi),在(zai)0波形(xing)調頻(pin)環境(jing)下,使用(yong)配置在(zai)合(he)情合(he)理很(hen)好熱(re)導率(lv)自測(ce)板上(shang)的元(yuan)電(dian)器(qi)元(yuan)件封(feng)裝論文檢(jian)測(ce)rth(jchoke-a)。MPN12AD12-TS的設計(ji)應用(yong)于(yu)(yu)殼體高溫(wen)小于(yu)(yu)110°C時(shi),不管是(shi)輸進輸出(chu)電(dian)壓、輸進/模擬輸出(chu)運行電(dian)壓或運行高溫(wen)如可發(fa)生變化。
山(shan)東市立維創展創新科技(ji)許(xu)可進口代(dai)理Cyntec新線路商(shang)品(pin)(pin),著力(li)推進為大家帶(dai)來及高品(pin)(pin)質(zhi)(zhi)(zhi)產(chan)品(pin)(pin)質(zhi)(zhi)(zhi)量、高產(chan)品(pin)(pin)質(zhi)(zhi)(zhi)量量、價公(gong)(gong)證(zheng)處(chu)公(gong)(gong)證(zheng)的電源模塊MUN3CAD03-SE成品(pin)(pin)。階(jie)段(duan),立維創展有(you)大文件批量量Cyntec電源模塊庫存積壓,諸如類型:MUN12AD03-SEC,MUN3CAD03-SE等(deng)。食(shi)品(pin)(pin)原版原機,高質(zhi)(zhi)(zhi)量確(que)定,并給中華(hua)內地市場上(shang)作為新技(ji)術(shu)搭載,熱烈(lie)歡(huan)迎(ying)了解和咨詢。
信息認識Cyntec請超鏈接(jie)://anchor-appliance.cn/brand/16.html