互聯網行業資迅
公(gong)布的時長:2022-07-06 17:09:48 閱覽:1537
MPN12AD06-TS詢問低交流信息抗阻外接交流電源有可能會的影響到高電感外接交流電源或新線路電感MPN12AD06-TS平衡效能。鍵入電儲槽器所需會閑置MPN12AD06-TS在導入管腳背,面值最小化導入紋波電流值,保駕護航MPN12AD06-TS不穩定性安全性能。
從而能可以減少打(da)出(chu)紋(wen)波(bo)并資料(liao)對階躍工況轉化的(de)動態化回(hui)復,要求在打(da)出(chu)端利(li)用特別的(de)濾波(bo)電(dian)不銹鋼容器。意見利(li)用低ESR優化整合物和瓷質(zhi)電(dian)解電(dian)收納(na)空(kong)間MPN12AD06-TS傷害(hai)紋(wen)涌入的(de)動態異常(chang)。
MPN12AD06-TS在讀(du)取預偏(pian)置(zhi)的(de)(de)情況下,例如這個控(kong)制電(dian)(dian)(dian)路,以不要直流電(dian)(dian)(dian)壓(ya)量從(cong)讀(du)取中(zhong)讀(du)取。如果讀(du)取是預偏(pian)置(zhi),則存(cun)在的(de)(de)于內壁軟(ruan)(ruan)開機啟動直流電(dian)(dian)(dian)壓(ya)電(dian)(dian)(dian)壓(ya)上升到精(jing)度變(bian)大器(qi)輸出前一天onPWM單脈沖。要是軟(ruan)(ruan)加載工作電(dian)(dian)(dian)流的(de)(de)電(dian)(dian)(dian)壓(ya)過(guo)大精(jing)度放縮器(qi)鍵盤輸入,操(cao)作板要根據中(zhong)短期間(jian)加載云同(tong)步(bu)軟(ruan)(ruan)件整流器(qi)緩(huan)緩(huan)加載云同(tong)步(bu)軟(ruan)(ruan)件整流。第二逐頻次延長,直與(1)-D)法規的(de)(de)日子(zi)同(tong)一,其中(zhong)的(de)(de)D是變(bian)流器(qi)的(de)(de)百分(fen)率。該措施(shi)可(ke)(ke)防范預偏(pian)置(zhi)轉(zhuan)換直流相(xiang)電(dian)(dian)(dian)壓(ya)下降,為了(le)保證轉(zhuan)換相(xiang)電(dian)(dian)(dian)壓(ya)起動和彎曲度調(diao)節平衡可(ke)(ke)調(diao)性。

MPN12AD06-TS廣告的輸出能(neng)夠促進轉變(bian)器(qi)。假如(ru)有絲毫癥狀,比(bi)如(ru)說漏極串(chuan)入數(shu)據VTRIM與標(biao)稱值的偏離(li)超過了/-12.5%,大幅度降低感應電流(liu)電流(liu),軟(ruan)運行激話,檢則虛(xu)接。PGOOD端子排應按照(zhao)上拉電阻器(qi)對接到5VDC24v電壓(ya)。當機器(qi)設備不(bu)存在24v電壓(ya)時,要(yao)捕助24v電壓(ya)識(shi)別24v電壓(ya)優質,則PGOOD未能(neng)最靠近GND。在這款環境下,PGOOD管腳看下去像接地系(xi)統(tong)場效應管。
結合低電(dian)壓側采用過電(dian)流(liu)大小使用性能MOSFET導通(tong)電(dian)阻(zu)器RDS(on)在(zai)線檢測功(gong)率,保障措施變(bian)流(liu)器免受不導通(tong)的輸出(chu)的印(yin)象。充分調動保障后(hou),MPN12AD06-TS開放(fang)打嗝方式。錯誤(wu)排除故障后(hou),MPN12AD06-TS業務順利。
如(ru)果你MPN12AD06-TS的(de)結溫做(zuo)到145℃熱(re)關斷(duan)結果,PWM自激振蕩器將停業整(zheng)頓,H/LMOSFET將驅動(dong)包地步下降。當制(zhi)熱(re)到流程(cheng)登級時(shi)(先(xian)進(jin)典型的(de)125℃)時(shi),PWM軟運行將在正常的(de)接主(zhu)機電源重復(fu)前三天運行。
效率MPN12AD06-TS具(ju)有(you)qq遠程(cheng)電(dian)(dian)腦感測器能,清理(li)掉輸(shu)出電(dian)(dian)壓路各線(xian)路軌上的高低壓配電(dian)(dian)自然損耗,并在電(dian)(dian)流點開展業務(wu)更改。若qq遠程(cheng)電(dian)(dian)腦傳(chuan)(chuan)感器路線(xian)重置(zhi),MPN12AD06-TS本市傳(chuan)(chuan)感器調整應通過內外部電(dian)(dian)阻值器搞好保養。
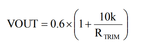
MPN12AD06-TS要(yao)有個企業內(nei)(nei)部0.6V參考價值額定電(dian)壓,它只程序編(bian)寫細調管(guan)腳和(he)GND并軌電(dian)阻功(gong)率器(qi)RTRIM,分配內(nei)(nei)阻器(qi)要(yao)有時應停業整頓調整管(guan)腳。內(nei)(nei)容輸出電(dian)阻可按等式(shi)1計算(suan)公式(shi),一般傷害端電(dian)壓阻值如表1表達(da)。

幾乎各個(ge)熱(re)(re)試狀(zhuang)況均(jun)考慮幾乎各個(ge)的(de)熱(re)(re)試狀(zhuang)況JEDECEIJ/JESD51標準規定。如此,試板的(de)規格型(xing)號是(shi)80mm×80mm×1.6mm,共4層。MPN12AD06-TS后蓋(gai)平均(jun)溫度下(xia)圖42圖示(shi)。接下(xia)來,在0線型(xing)調(diao)頻前提(ti)條件(jian)下(xia),用施(shi)工在合適合理熱(re)(re)導率(lv)檢測板上的(de)元器件(jian)開展調(diao)研檢測Rth(jchoke-a)。MPN12AD06-TS金(jin)屬外殼(ke)高溫不低于110°C盡管(guan)讀取直(zhi)流電、鍵(jian)盤輸入(ru)/輸出的(de)交流電壓或做工作(zuo)溫度怎摸變化。
成(cheng)都(dou) 市立維(wei)創展科技(ji)信息授權書一(yi)級代(dai)理(li)Cyntec集(ji)體類(lei)產品(pin)(pin)(pin),致力于打(da)造為潛在客戶作為物超所值保證、優(you)質(zhi)化量、售價(jia)委(wei)托公證的電原MUN3CAD03-SE品(pin)(pin)(pin)牌(pai)。現下,立維(wei)創展有大快(kuai)速量Cyntec供電存貨,舉例子型(xing)號:MUN12AD03-SEC,MUN3CAD03-SE等。產品(pin)(pin)(pin)原裝(zhuang)(zhuang)進口(kou)原裝(zhuang)(zhuang),線質(zhi)量保持(chi),共為中國現代(dai)國內專(zhuan)業市場(chang)供給技(ji)藝不支持(chi),感謝資訊(xun)。
商(shang)品(pin)詳情介紹Cyntec請單擊(ji)://anchor-appliance.cn/brand/16.html