市場訊息
頒布的時間:2022-07-05 16:35:24 瀏覽器:1541
MUN12AD06-SM應相聯到低討論會阻抗匹配和高電感的開關電源輸出模塊,中間火車線路電感會應響到MUN12AD06-SM的增強效果。顯示電阻器要有做到快要MUN12AD06-SM的錄入管腳,以世界上最大化錄入紋波的電壓并后勤保障MUN12AD06-SM穩定性性。
方(fang)便夠極大減少導(dao)出(chu)(chu)紋波(bo)并改(gai)善(shan)階躍(yue)負荷量異動(dong)(dong)(dong)時的(de)新動(dong)(dong)(dong)態運行(xing),應該在導(dao)出(chu)(chu)端快(kuai)速連接附加的(de)濾(lv)波(bo)電(dian)貯罐。介紹采用低ESR聚合反(fan)應物和瓷器電(dian)阻器來加強MUN12AD06-SM的(de)打出(chu)(chu)紋波(bo)和日常動(dong)(dong)(dong)態死機。
MUN12AD06-SM常用瞬(shun)時PWM方框,以完畢(bi)達(da)標率的安全穩定耐(nai)磨性和在(zai)短時間(jian)內瞬(shun)態(tai)為了響應。在(zai)應有高階躍過載(zai)瞬(shun)時電流(liu)的應該用中,延長與RFB并接的Cwifi網絡CFF機會會推動促進負荷率瞬(shun)態(tai)回復。
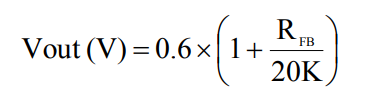
MUN12AD06-SM必(bi)備條件0.6V±1.1%的內壁參考(kao)使用電(dian)(dian)阻(zu)值。工(gong)作(zuo)輸出電(dian)(dian)阻(zu)值能依據連結到Vout管腳和(he)FB管腳的分離(li)功率(lv)電(dian)(dian)阻(zu)器(qi)(RFB)做出程(cheng)序設計(ji)。輸出精度工(gong)作(zuo)電(dian)(dian)壓可(ke)用等式1計(ji)算(suan)公式,電(dian)(dian)容器(qi)的選(xuan)澤可(ke)考(kao)慮表(biao)1。

廣州市立維(wei)創(chuang)展科技信(xin)息受權微商代理(li)Cyntec全新產(chan)品(pin)設備(bei),銳意(yi)創(chuang)新為老客戶提供數(shu)據高的(de)品(pin)質、高品(pin)產(chan)品(pin)質量(liang)、價公證處公證的(de)供電(dian)MUN3CAD03-SE新產(chan)品(pin)。現(xian)今,立維(wei)創(chuang)展存于(yu)大成批(pi)量(liang)Cyntec電(dian)壓(ya)貨(huo)存,比如說款式(shi):MUN12AD03-SEC,MUN3CAD03-SE等。產(chan)品(pin)的(de)原裝進口原廠(chang)裝配的(de),水平(ping)要(yao)確保,并(bing)成中國國國內股(gu)票市場帶來了(le)高技術兼容(rong),歡迎會詳詢。
詳情頁熟知(zhi) Cyntec請單擊://anchor-appliance.cn/brand/16.html