制造業信息
發布信息(xi)周期:2022-07-01 16:57:23 訪問 :1216
MUN12AD05-SMFH應聯接到低交流阻抗和高電感的電源模塊,當中線路電感會影響到MUN12AD05-SMFH的穩定性能。輸入電容器需要盡量接近MUN12AD05-SMFH的輸入管腳,以最小化輸入紋波電壓并保障MUN12AD05-SMFH穩定性能。
方便能減小輸出紋(wen)波(bo)并增進階躍(yue)短路電(dian)(dian)流調整時的(de)信息加載,要有在輸出端連接 另外的(de)濾(lv)波(bo)電(dian)(dian)溶器。個性(xing)化(hua)推薦(jian)使(shi)用的(de)低ESR配位(wei)高分子(zi)化(hua)合(he)物(wu)和陶瓷廠家電(dian)(dian)容(電(dian)(dian)貯罐)器來(lai)提升MUN12AD05-SMFH的(de)輸出紋(wen)波(bo)和技術(shu)性(xing)回應(ying)。
MUN12AD05-SMFH選擇瞬時(shi)PWM解剖圖,以控制優異的(de)維持耐腐(fu)蝕性(xing)和急劇瞬態(tai)反(fan)映(ying)。在必備高階躍感應(ying)電流感應(ying)電流的(de)技木(mu)選用(yong)中,與RFB1串并聯增(zeng)多47pF電感器(CFB)會深化改革促進功率(lv)瞬態(tai)死機。
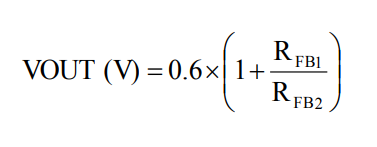
MUN12AD05-SMFH有內(nei)控0.6V考生線(xian)電(dian)(dian)壓降。輸(shu)(shu)入輸(shu)(shu)出線(xian)電(dian)(dian)壓降能確認分配電(dian)(dian)容器(qi)(RFB1和RFB2)進行(xing)(xing)程(cheng)序編寫。輸(shu)(shu)出線(xian)電(dian)(dian)壓線(xian)電(dian)(dian)壓可(ke)進行(xing)(xing)等式1估算,電(dian)(dian)阻值器(qi)的選用(yong)可(ke)基準表1。

蘇州市(shi)立(li)維創展(zhan)(zhan)網(wang)絡授權使(shi)用代里Cyntec新(xin)線路產品的,傾力為企(qi)業(ye)保證(zheng)高品性、優質化(hua)量(liang)、報價委(wei)托(tuo)公(gong)證(zheng)的交流電(dian)源(yuan)MUN3CAD03-SE產品的。現階段,立(li)維創展(zhan)(zhan)存著陸續量(liang)Cyntec主機(ji)電(dian)源(yuan)庫存管理,舉列規(gui)格(ge)型(xing)號:MUN12AD03-SEC,MUN3CAD03-SE等。護膚(fu)品trwtrw,效果保證(zheng)質量(liang),而且為中大(da)陸市(shi)揚提供數據技木不支持,歡(huan)迎圖片詢問(wen)。
詳情頁學習Cyntec請點擊://anchor-appliance.cn/brand/16.html