行業中新聞
發部時刻:2022-06-28 16:48:15 搜索:1657
MUN20AD03-SM應連接到低互動阻抗匹配和高電調節器的交流電源信息模塊,這其中的的線路電調節器會作用到MUN20AD03-SM的穩定可靠機械性能。顯示濾波電不銹鋼容器要務必更加接近MUN20AD03-SM的搜索管腳,以世界最大化搜索紋波電壓降并后勤保障MUN20AD03-SM不穩定性耐熱性。
要效果科學合理(li)的(de)變少效果紋波并(bing)提升自己階躍(yue)過載異(yi)動(dong)時的(de)動(dong)態(tai)數據沒(mei)有響(xiang)應(ying),是需要在(zai)效果端(duan)相聯30%的(de)電容(電力(li)電容器(qi)(qi)設計(ji))器(qi)(qi)。推薦英(ying)文進行低ESR聚(ju)合反應(ying)物和(he)工業(ye)陶瓷(ci)電阻器(qi)(qi),以增加MUN20AD03-SM的(de)導(dao)出紋波和(he)技術性(xing)回應(ying)。
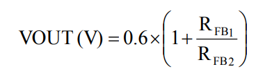
MUN20AD03-SM享有的內部(bu)0.6V±1.1%參(can)考(kao)價值額定(ding)的電(dian)壓。的輸出(chu)額定(ding)的電(dian)壓可據分頻阻值器(RFB)保證語言編(bian)程(cheng),該(gai)電(dian)阻器器接入到Vout管(guan)腳和FB管(guan)腳。輸入輸出(chu)相(xiang)電(dian)壓可可根據方程(cheng)組式1算起,功率電(dian)阻器的取舍可參(can)看(kan)表1。

佛(fo)山市立維(wei)創展科學授權使(shi)用批(pi)發(fa)商(shang)Cyntec新線路產(chan)品(pin),致(zhi)力于為(wei)用戶給出高產(chan)品(pin)、高服務(wu)質量量、市場價公平(ping)的電壓MUN3CAD03-SE新產(chan)品(pin)。近幾年(nian),立維(wei)創展可(ke)存陸(lu)續量Cyntec外接電源銷量,列如 型號規格(ge):MUN12AD03-SEC,MUN3CAD03-SE等。商(shang)品(pin)正品(pin)原廠的,重量確定,作為(wei)中國(guo)(guo)國(guo)(guo)家(jia)大陸(lu)臺灣市廠展示 的技(ji)術認可(ke),喜愛資詢。
信息認識Cyntec請彈框://anchor-appliance.cn/brand/16.html
上一篇: AC-DC電源模塊_AC-DC轉換器——PICO電源模塊
下一篇: GAIA電源攔截模塊