該行業分析、短視頻軟件
更新時(shi)光:2022-06-23 16:57:55 瀏覽(lan)器:1565
MUN3CAD03-SE應連接到低互動輸出阻抗電原24v電源模塊,高電感電原或行車路線電感將會會騷擾MUN3CAD03-SE的穩定性能。工業陶瓷電解電阻要具備整流電壓偏置需求,整流電壓偏置需求對結果英文恰當電解電阻器有極大損害。結合在一起其封裝形式尺碼和穩定直流電壓,慎重選取適合自己的電解電阻器。保障輸進恰當電解電阻器必須為6μF,所在有效電容(電儲罐)器其中為18μF。
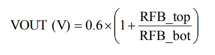
MUN3CAD03-SE模(mo)擬(ni)輸出(chu)電(dian)(dian)光(guang)電(dian)(dian)探測器流可選擇分(fen)光(guang)電(dian)(dian)探測器阻器RFB\Utop和RFB\Ubot實現(xian)了代碼(ma),假設檢驗(yan)RFB\Utop設計為(wei)200千歐(ou),輸入(ru)相電(dian)(dian)壓(ya)可按函數1換算(suan),給(gei)出(chu)非(fei)常典型導出(chu)電(dian)(dian)壓(ya)值(zhi)的電(dian)(dian)阻值(zhi)下(xia)面表下(xia)圖。

所有的(de)的(de)熱應(ying)力(li)測試(shi)因素均(jun)無法JEDECEIJ/JESD51標(biao)準的(de)。對此,應(ying)力(li)測試(shi)板(ban)(ban)長(chang)寬比為30mm×30mm×1.6mm,4層(ceng)2oz。在0LFM狀態下,選(xuan)用按照在科學(xue)熱導率測試(shi)軟件板(ban)(ban)上的(de)元器(qi)件衡量Rth(jchoke-a)。MUN3CAD03-SE設(she)計代替外殼平(ping)均(jun)溫度(du)低于(yu)125°C時使用的(de),不來(lai)輸(shu)出(chu)直流電、輸(shu)入/模擬(ni)輸(shu)出(chu)電壓降或運轉溫度(du)表如何變(bian)換(huan)。
南京市立維創展現代科技認證進口代理Cyntec新線路車輛,致力于為投資者展示 優產品品質的產品品質、優產品品質、產品報價公證的24v電源MUN3CAD03-SE類產(chan)品(pin)。階段,立維(wei)創展可存大(da)(da)規模量(liang)Cyntec供電(dian)交易(yi)量(liang),舉(ju)個例(li)子規格(ge)型號:MUN12AD03-SEC,MUN3CAD03-SE等。服(fu)務原(yuan)(yuan)裝(zhuang)機原(yuan)(yuan)裝(zhuang)廠(chang),水平絕對,同(tong)心同(tong)德全球大(da)(da)陸行業市場(chang)出具(ju)技術應用支技,熱(re)烈歡迎在線咨詢。
商(shang)品詳情(qing)頁熟知(zhi) Cyntec請超(chao)鏈接://anchor-appliance.cn/brand/16.html