相關行業新聞資訊
發布的時:2022-05-30 16:41:21 查看(kan):1112
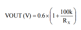
評價指標板適用于MUN12AD03-SM,高效DC/DC電源模塊。評估板在負載電流高達3A時生成+5.0V輸出(chu)電壓。輸出(chu)設置電阻器RX可以調整,以評估不(bu)同的(de)輸出(chu)電壓。MUN12AD03-SM開關頻率為1MHz,使用提供的(de)電子器件可實現高達93%的效率。
高壓電器技術參數:
Parameters | Symbol | Value | Unit |
Input Voltage Range | VIN | 4.5~16 | V |
Output Voltage | VOUT | 5.0 | V |
Output Current | IOUT | 3 | A |
EVALUATION BOARD & EFFICIENCY::

導出工作電壓VOUT可經由(you)優化RX(R6~R9)對其進行程序語言。
鄭州市立維創展科持授(shou)權使用代理商Cyntec新(xin)線路成品(pin),全力為大(da)家供給(gei)數據高(gao)端提高(gao)、優質化量(liang)、價值公證的電源開(kai)關(guan)傳感器成品(pin)。成品(pin)原機(ji)原機(ji),重(zhong)量(liang)提高(gao),同(tong)心(xin)同(tong)德中華內地行(xing)業供給(gei)數據技術水(shui)平(ping)的支持,祝賀管理咨詢(xun)。
信息知道MUN12AD03-SM請點擊量://anchor-appliance.cn/product/3002.html