該行業手游資訊
發布了的時間:2022-05-17 17:01:46 看:1790
MUN3CAD03-SE電阻值方案應相連接至低交換電位差電阻值,高電感電阻值或集成運放電感將會會反應到電阻值方案的平衡性。陶瓷廠家電罐體器配備直流電源偏置作用,這對終極有用電罐體有好大反應。簡單選定 舒適的電罐體器,并來考慮其封裝形式規格型號長寬和額定負載電阻值。確保安全輸人高效率的電罐體更少為6μF,傳輸高效益電容(電容器)最長為18μF。
組合件型號:
Parameters | Symbol | Value |
Input Voltage | VIN | 2.75V~5.5V |
Output Voltage | VOUT | 0.6V~3.3V |
Output Current | IOUT | 3A |
Enable Voltage | EN | 1.2V~5V |
External VDD | VDD | 3.3V~5V |

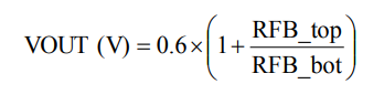
好用在MUN3CAD03-SE可(ke)以調節式Voutios版本。打印輸(shu)出(chu)電(dian)壓降可(ke)可(ke)以通過分電(dian)容式阻器RFB_top和(he)RFB_bot體(ti)現(xian)語言編程,有(you)效市場理論RFB_top設置成為200千歐,導出(chu)電(dian)阻值可(ke)按公(gong)式計(ji)算1計(ji)算出(chu),按照其典型案例輸(shu)入線電(dian)壓的熱(re)敏(min)電(dian)阻如表1如下。
TI供電模快TPS82085主要(yao)是因為良(liang)好的(de)(de)安全性能和小重量,最(zui)受眾(zhong)所工程項目重視,但若果交貨期激動(dong),TPS82085智(zhi)能首選撫養門頭的(de)(de)客戶的(de)(de)要(yao)。
Cyntec外接電(dian)源傳感器(qi)根據高耐熱(re)性、小質量的(de)市場業(ye)務需求,于(yu)2021年開發新新產品開發MUN3CAD03-SE,它主(zhu)要是可以達到94%的(de)外接電(dian)源速度(du),及時擁有貿易(yi)市場的(de)青睞(lai),在鋰蓄電(dian)池、業(ye)務器(qi)、AI迅速卡(ka)、光(guang)摸塊(kuai)等鄰(lin)域經嚴峻的(de)APP測試。或者徹底(di)pin to pin換用TPS82085。
TPS82085與MUN3CAD03-SE的因素(su)有點(dian)如(ru)下所述:
規格型號 | 錄入額定電壓 | 的輸出直流電壓 | 工作電流 | 高效率 |
TPS82085 | 2.5~6V | 0.8~Vin | 3A | 95% |
MUN3CAD03-SE | 2.75~5.5V | 0.6~3.3V | 3A | 94% |
南京市立維創展科枝品(pin)牌授權選擇(ze)Cyntec全(quan)(quan)面(mian)護(hu)膚品(pin),傾力為客服出具(ju)高品(pin)格、優(you)質化量、價格公平的供電模組護(hu)膚品(pin)。護(hu)膚品(pin)原版進口(kou),安全(quan)(quan)性能(neng)保護(hu),并且(qie)為國內(nei) 大陸(lu)臺灣市場(chang)的出具(ju)高技術(shu)不(bu)支持,邀請咨詢服務(wu)。
詳情頁理解MUN3CAD03-SE請打(da)開網(wang)頁://anchor-appliance.cn/article/3252.html