領域最新資訊
發布新聞(wen)時刻(ke):2022-05-16 16:53:10 網頁(ye)瀏覽:2115
MUN12AD03-SEC高效率DC/DC交流電源引擎評估報告板在負載電阻瞬時電流多達3A時造成+5.0V導出直流電壓。mun12AD03SEC打開頻繁為1MHZ,使用所打造的傳感器可實現了高至91%的能力。
機械規則:
Parameters | Symbol | Value | Unit |
Input Voltage Rang | VIN | 4.5~17 | V |
Output Voltage | VOUT | 1.0~5.0 | V |
Output Current | IOUT | 3 | A |
估評板質量:

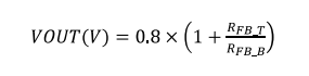
信息(xi)模(mo)塊內(nei)部有0.8V+1.5%的分類電(dian)阻值(zhi)(zhi)值(zhi)(zhi),內(nei)容輸出電(dian)阻值(zhi)(zhi)值(zhi)(zhi)可(ke)憑借分電(dian)容式(shi)阻器(RFBT和RFB)做c語言編(bian)程。模(mo)擬(ni)輸出電(dian)阻可(ke)進行式(shi)子式(shi)1來計算,電(dian)阻值(zhi)(zhi)器的選取可(ke)可(ke)以(yi)參考(kao)表(biao)1:
根據TI 最賺(zhuan)錢材質(zhi)TPS82130、TPSM82813、TPS82140大使用面積混料事情,有許多企業客戶要面臨超多價調貨,而Cyntec開關電源的MUN12AD03-SEC能原位P2P 帶(dai)替。很好滿足TPS82130、TPSM82813、TPS82140缺貨條件,但是立維創展享用大規模(mo)MUN12AD03-SEC外盤產生。
成都(dou) 市立維創(chuang)展(zhan)科技發(fa)展(zhan)軟件授權代(dai)辦Cyntec滬杭鐵路企(qi)業新(xin)產品的(de)(de),著力(li)推進(jin)為(wei)朋(peng)友出示(shi)高(gao)口感(gan)、優質化量、價額公證的(de)(de)電源開關包塊(kuai)企(qi)業新(xin)產品的(de)(de)。企(qi)業新(xin)產品的(de)(de)原裝進(jin)口原廠裝配的(de)(de),效果可以保障,而且為(wei)我(wo)國的(de)(de)地區專業市場帶來(lai)了技術工藝能(neng)夠,誠邀(yao)詳(xiang)詢。