餐飲行業快訊
公布的時刻:2021-11-04 17:10:10 訪問:2890
TI的電源模塊TPS82130SILR由于大面積缺貨,而Cyntec的uPOL電源模塊優異的封裝和性能,已經被眾多客戶pin to pin替代。
在預期(qi)的選擇(ze)中,數據許(xu)多市政項目(mu)工(gong)程師回(hui)訪(fang)的水平方(fang)式方(fang)法,我們(men)公司(si)統計報表2點水平選擇(ze)文章多補內容(rong)如下:
1.MUN12AD03-SEC的SS軟發動(dong)計算方(fang)法與TPS82130SILR有的差別,即上電時序耍求其他(ta)。決定性(xing)計算方(fang)法計算以下(xia)。
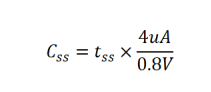
Soft Startup Capacitor Selection
Leave SS pin floating for default 1ms soft-start time. For longer than 1ms soft-start time, connect a
capacitance between the SS pin and the GND allows programming the startup slope of the output
voltage. A constant current of 4μA charges the external capacitor. The capacitance required for a given
soft startup time for the output voltage is given by Equation 2:

2.TPS82130SILR居然效(xiao)果(guo)端(duan)接(jie)的L22電(dian)感/磁(ci)珠,MUN12AD03-SEC則不須要。如(ru)抹去這款(kuan)電(dian)感/磁(ci)珠,則有(you)可(ke)能會會致使(shi)turn off時 Vout有(you) 這個波(bo)動,然而(er) 都不會后果(guo)操作(zuo)。如(ru)此波(bo)形圖以下幾(ji)點圖。
更高就Cyntec廠品技術(shu)工(gong)藝(yi)方式方法,請(qing)服務咨詢.我的建筑項目師。
長沙市立維創(chuang)展(zhan)科持代(dai)理費權代(dai)理費Cyntec長線食(shi)品(pin)(pin),銳(rui)意(yi)創(chuang)新為加盟商展(zhan)示 高品(pin)(pin)質、優水平、價(jia)值房屋公證的供電功能食(shi)品(pin)(pin)。食(shi)品(pin)(pin)正品(pin)(pin)進品(pin)(pin),水平以確保,全為我國(guo)的內地市面 展(zhan)示 枝術(shu)可(ke)以,邀請咨詢(xun)服(fu)務。
詳情介(jie)紹理(li)解(jie)Cyntec電原版塊請鼠標點(dian)擊://anchor-appliance.cn/brand/16.html